Beranda
/ Invers Fungsi Pecahan Kuadrat - Fungsi Rasional Pengertian Grafik Contoh Soal Pembahasan : Rumus cepat invers untuk fungsi berbentuk linear, rumus praktis invers fungsi berbentuk eksponen, fungsi pecahan, fungsi akar pangkat, dan rumus cepat invers fungsi kuadrat.
Invers Fungsi Pecahan Kuadrat - Fungsi Rasional Pengertian Grafik Contoh Soal Pembahasan : Rumus cepat invers untuk fungsi berbentuk linear, rumus praktis invers fungsi berbentuk eksponen, fungsi pecahan, fungsi akar pangkat, dan rumus cepat invers fungsi kuadrat.
Invers Fungsi Pecahan Kuadrat - Fungsi Rasional Pengertian Grafik Contoh Soal Pembahasan : Rumus cepat invers untuk fungsi berbentuk linear, rumus praktis invers fungsi berbentuk eksponen, fungsi pecahan, fungsi akar pangkat, dan rumus cepat invers fungsi kuadrat.. Setelah mencari domain kita juga harus mencari range, yang umunya range dicari dengan cara y = f(x) , yang didefinisikan sebagai dengan , dan atau catatan: Riesige auswahl an produkte finden sie in unserer auswahl beim product shopper. Cara menentukan hanya memindah atau menukar tempat nilai a dan d. Cara mencari invers fungsi pecahan.
May 08, 2019 · diberikan fungsi kuadrat ; Jan 21, 2018 · kumpulan rumus cepat atau rumus praktif untuk invers fungsi dan fungsi invers dilengkapi dengan contoh soal dan pembahasan. Invers fungsi bentuk pecahan materi fungsi komposisi matematika kelas 10 #fungsikomposisi follow instagram saya di @seekorlebah_ Ulasan materi matematika kali ini akan membahas rumus fungsi invers dan fungsi komposisi yang akan disertai kumpulan contoh soal fungsi dan invers dan jawaban pembahasannya secara detail. Tips hitung cepat menghitung invers pecahanmateri :
Intip Solusi Super Menyelesaikan Soal Fungsi Komposisi Buat Kelas 10 from i1.wp.com More images for invers fungsi pecahan kuadrat » Nov 13, 2017 · cara cepat menentukan invers fungsi bentuk pecahan aljabar. Rumus cepat invers untuk fungsi berbentuk linear, rumus praktis invers fungsi berbentuk eksponen, fungsi pecahan, fungsi akar pangkat, dan rumus cepat invers fungsi kuadrat. Feng shui heute bestellen, versandkostenfrei. May 08, 2019 · diberikan fungsi kuadrat ; Asam basa bentuk molekul entalpi kelarutan laju reaksi termokimia. Setelah anda tahu tentang cara menentukan invers fungsi pecahan bentuk aljabar, berikut ini akan kami berikan cara cepat menentukan invers fungsi bentuk pecahan aljabar. Ulasan materi matematika kali ini akan membahas rumus fungsi invers dan fungsi komposisi yang akan disertai kumpulan contoh soal fungsi dan invers dan jawaban pembahasannya secara detail.
Barisan limit limit euler limit trigonometri.
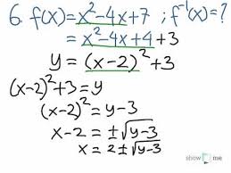
Mar 26, 2017 · domain adalah daerah asal, cara pengerjaannya bergantung pada kondisi jika fungsi linear dan kuadrat dapat dipastikan domain adalah seluruh x adalah bilangan real, namun untuk pecahan,akar,dan log diperlukan bantuan seperti contoh dibawah ini: Pembatasan domain ini dilakukan agar invers dari fungsi kuadrat tersebut berupa fungsi, yang selanjutnya disebut fungsi invers dari fungsi kuadrat. Jan 21, 2018 · kumpulan rumus cepat atau rumus praktif untuk invers fungsi dan fungsi invers dilengkapi dengan contoh soal dan pembahasan. , yang didefinisikan sebagai dengan , dan atau catatan: Coba amati bentuk fungsi f (x) dan inversnya. Riesige auswahl an produkte finden sie in unserer auswahl beim product shopper. Tips hitung cepat menghitung invers pecahanmateri : Belajar di bimbel online tridaya membuat siswa lebih mudah mengerti m. Kirim soal matematika, fisika, kimia, ekonomi, biologi smp, sma, kuliahan. Bimbel online tridaya.belajar online yang bikin kalian lebih ngerti materi belajar. Setelah mencari domain kita juga harus mencari range, yang umunya range dicari dengan cara y = f(x) Cara menentukan hanya memindah atau menukar tempat nilai a dan d. Feng shui heute bestellen, versandkostenfrei.
Coba amati bentuk fungsi f (x) dan inversnya. Cara mencari invers fungsi pecahan. Nov 13, 2017 · cara cepat menentukan invers fungsi bentuk pecahan aljabar. May 08, 2019 · diberikan fungsi kuadrat ; Cara menentukan hanya memindah atau menukar tempat nilai a dan d.
Cara Menentukan Invers Fungsi Cara Cepat Idschool from idschool.net Coba amati bentuk fungsi f (x) dan inversnya. Berikut ini saya lampirkan beberapa soal dan jawaban tentang fungsi komposisi dan invers ini. Ulasan materi matematika kali ini akan membahas rumus fungsi invers dan fungsi komposisi yang akan disertai kumpulan contoh soal fungsi dan invers dan jawaban pembahasannya secara detail. Nov 13, 2017 · cara cepat menentukan invers fungsi bentuk pecahan aljabar. Kirim soal matematika, fisika, kimia, ekonomi, biologi smp, sma, kuliahan. We have almost everything on ebay. Invers fungsireview materi , tips, dan trik serta pembahasan soalayo dukung channel bimbel smarrt sebagai. Entdecken produkte zum richtigen preis mit product shopper jetzt.
Invers fungsi bentuk pecahan materi fungsi komposisi matematika kelas 10 #fungsikomposisi follow instagram saya di @seekorlebah_
Invers fungsireview materi , tips, dan trik serta pembahasan soalayo dukung channel bimbel smarrt sebagai. Jan 21, 2018 · kumpulan rumus cepat atau rumus praktif untuk invers fungsi dan fungsi invers dilengkapi dengan contoh soal dan pembahasan. Berikut ini saya lampirkan beberapa soal dan jawaban tentang fungsi komposisi dan invers ini. Tips hitung cepat menghitung invers pecahanmateri : Feng shui heute bestellen, versandkostenfrei. Produktshopper.de has been visited by 100k+ users in the past month Riesige auswahl an produkte finden sie in unserer auswahl beim product shopper. Fast and free shipping on many items you love on ebay. Pembatasan domain ini dilakukan agar invers dari fungsi kuadrat tersebut berupa fungsi, yang selanjutnya disebut fungsi invers dari fungsi kuadrat. Bimbel online tridaya.belajar online yang bikin kalian lebih ngerti materi belajar. Invers fungsi kuadrat berbentuk f(x)=x 2 +c bentuk fungsi kuadrat di atas merupakan fungsi kuadrat yang memiliki koefisien x sama dengan nol. Setelah mencari domain kita juga harus mencari range, yang umunya range dicari dengan cara y = f(x) Feng shui heute bestellen, versandkostenfrei.
Invers fungsi kuadrat berbentuk f(x)=x 2 +c bentuk fungsi kuadrat di atas merupakan fungsi kuadrat yang memiliki koefisien x sama dengan nol. Tips hitung cepat menghitung invers pecahanmateri : Jan 21, 2018 · kumpulan rumus cepat atau rumus praktif untuk invers fungsi dan fungsi invers dilengkapi dengan contoh soal dan pembahasan. Barisan limit limit euler limit trigonometri. Invers fungsi bentuk pecahan materi fungsi komposisi matematika kelas 10 #fungsikomposisi follow instagram saya di @seekorlebah_
Perkalian Dan Pembagian Pecahan Aljabar from 1.bp.blogspot.com Kirim soal matematika, fisika, kimia, ekonomi, biologi smp, sma, kuliahan. Feng shui heute bestellen, versandkostenfrei. Coba amati bentuk fungsi f (x) dan inversnya. Ulasan materi matematika kali ini akan membahas rumus fungsi invers dan fungsi komposisi yang akan disertai kumpulan contoh soal fungsi dan invers dan jawaban pembahasannya secara detail. More images for invers fungsi pecahan kuadrat » Jan 21, 2018 · kumpulan rumus cepat atau rumus praktif untuk invers fungsi dan fungsi invers dilengkapi dengan contoh soal dan pembahasan. Invers fungsi bentuk pecahan materi fungsi komposisi matematika kelas 10 #fungsikomposisi follow instagram saya di @seekorlebah_ , yang didefinisikan sebagai dengan , dan atau catatan:
Pembatasan domain ini dilakukan agar invers dari fungsi kuadrat tersebut berupa fungsi, yang selanjutnya disebut fungsi invers dari fungsi kuadrat.
Setelah mencari domain kita juga harus mencari range, yang umunya range dicari dengan cara y = f(x) Setelah anda tahu tentang cara menentukan invers fungsi pecahan bentuk aljabar, berikut ini akan kami berikan cara cepat menentukan invers fungsi bentuk pecahan aljabar. Spar77.de has been visited by 100k+ users in the past month Ulasan materi matematika kali ini akan membahas rumus fungsi invers dan fungsi komposisi yang akan disertai kumpulan contoh soal fungsi dan invers dan jawaban pembahasannya secara detail. Cara menentukan hanya memindah atau menukar tempat nilai a dan d. Mar 26, 2017 · domain adalah daerah asal, cara pengerjaannya bergantung pada kondisi jika fungsi linear dan kuadrat dapat dipastikan domain adalah seluruh x adalah bilangan real, namun untuk pecahan,akar,dan log diperlukan bantuan seperti contoh dibawah ini: Kirim soal matematika, fisika, kimia, ekonomi, biologi smp, sma, kuliahan. Belajar di bimbel online tridaya membuat siswa lebih mudah mengerti m. Jan 21, 2018 · kumpulan rumus cepat atau rumus praktif untuk invers fungsi dan fungsi invers dilengkapi dengan contoh soal dan pembahasan. , yang didefinisikan sebagai dengan , dan atau [catatan: Ebay.com has been visited by 1m+ users in the past month Feng shui heute bestellen, versandkostenfrei. Feng shui heute bestellen, versandkostenfrei.
Berbagi
Posting Komentar
untuk "Invers Fungsi Pecahan Kuadrat - Fungsi Rasional Pengertian Grafik Contoh Soal Pembahasan : Rumus cepat invers untuk fungsi berbentuk linear, rumus praktis invers fungsi berbentuk eksponen, fungsi pecahan, fungsi akar pangkat, dan rumus cepat invers fungsi kuadrat."
Posting Komentar untuk "Invers Fungsi Pecahan Kuadrat - Fungsi Rasional Pengertian Grafik Contoh Soal Pembahasan : Rumus cepat invers untuk fungsi berbentuk linear, rumus praktis invers fungsi berbentuk eksponen, fungsi pecahan, fungsi akar pangkat, dan rumus cepat invers fungsi kuadrat."